[Previous] [Next]

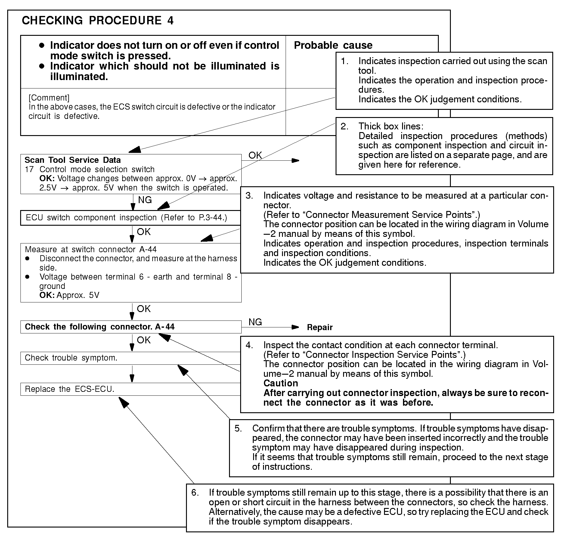
HOW TO USE THE INSPECTION PROCEDURES
The causes of a high frequency of problems occurring in electronic circuitry are generally the connectors, components, the ECU and the harnesses between connectors, in that order. These inspection procedures follow this order, and they first try to discover a problem with a connector or a defective component.





HARNESS INSPECTION
Check for an open or short circuit in the harness between the terminals which were defective according to the connector measurements. Carry out this inspection while referring to Volume 2 Electrical manual. Here, "Check harness between power supply and terminal xx" also includes checking for blown fuses. For inspection service points when there is a blown fuse, refer to "Inspection Service Points for a Blown Fuse
."

MEASURES TO TAKE AFTER REPLACING THE ECU
If the trouble symptoms have not disappeared even after replacing the ECU, repeat the inspection procedure from the beginning.